焦环罚〔2025〕262号
来源: 添加时间: 2025-09-29 09:29:23 阅读量:

焦作市生态环境局

行政处罚决定书

环罚〔2025262

 

单位名称:武陟县谢旗营供销社加油站 

统一社会信用代码:91410823740705954Q             

地址:武陟县谢旗营村西 

法定代表人:魏玉敏

     

一、环境违法事实和证据

20256-7月份,焦作市环境执法人员利用手持式红外热成像气体泄漏检测仪和手持式挥发性有机气体分析仪(FID)等新装备,对全市多家加油站的油气回收系统开展排查。其中,在对武陟县谢旗营供销社加油站油气回收装置管线进行检查时发现,手持式红外热成像气体泄漏检测仪发现你加油站油气回收管道井存在有机气体泄漏的情况,手持式挥发性有机气体分析仪(FID)检测,管道井油气泄漏显示值高达3282ppm,远超500ppm的标准限值。

为此,环境执法人员怀疑你加油站油气回收系统密闭性不合格。2025731日,焦作市机动车排污监控中心牵头委托河南纯科科技有限公司对武陟县谢旗营供销社加油站的油气回收系统的密闭性、加油枪的气液比进行检测,编号为CKKJ-2019-JS-47的《检测报告》显示,你加油站的油气回收系统的密闭性检测不合格,气液比检测不合格,为此,判断你加油站油气回收系统密闭性不合格,油气回收设施不正常运行。

以上事实的证据如下:

1.《营业执照》复印件1份、2025812日《焦作市生态环境局现场检查(勘察)笔录》1,证明你加油站的基本情况和被询问人身份;

2.《武陟县谢旗营供销社加油站建设项目环境影响报告表》节选和《武陟县环境保护局关于武陟县谢旗营供销社加油站建设项目环境影响报告表的批复》复印件各1份,证明你加油站的油罐车、储油罐、加油机产生的废气应该通过油气回收系统回收处置;

3.2025812《焦作市生态环境局现场检查(勘察)笔录》1份、河南纯科科技有限公司出具的编号为CKKJ-2019-JS-47的《检测报告》1份及2025731日现场委托第三方检测公司采样照片2张,证明焦作市生态环境局委托河南纯科科技有限公司你加油站现场开展的油气回收系统的密闭性、加油枪的气液比进行检测项目的真实有效性

4.2025812日《焦作市生态环境局调查询问笔录》1份,证明你加油站的基本情况及2025731日对你加油站的油气回收系统的密闭性检测不合格,气液比检测不合格检测结果的违法事实认可;

5.你加油站提供的《固定污染源排污登记回执》复印件1份,证明你加油站的排污许可管理类别;

6.你加油站在国家企业信用信息平台行政处罚信息页面截屏1份,证明你加油站两年内未受到过同类处罚

我局于202599日送达了《行政处罚事先(听证)告知书》(焦环先告字〔2025243号),告知书告知该公司对我局拟作出的行政处罚有权进行陈述申辩权和申请听证权。以上事实有我局《行政处罚事先(听证)告知书》(焦环先告字〔2025243号)和《送达回证》等为证。单位在规定的时间内未进行陈述、申辨,未提出听证申请。

二、行政处罚的依据、种类

你加油站的行为违反了《中华人民共和国大气污染防治法》第四十七条第二款储油储气库、加油加气站、原油成品油码头、原油成品油运输船舶和油罐车、气罐车等,应当按照国家有关规定安装油气回收装置并保持正常使用。的规定。

依据《中华人民共和国大气污染防治法》第一百零八条违反本法规定,有下列行为之一的,由县级以上人民政府生态环境主管部门责令改正,处二万元以上二十万元以下的罚款;拒不改正的,责令停产整治:(四)储油储气库、加油加气站和油罐车、气罐车等,未按照国家有关规定安装并正常使用油气回收装置的;的规定

参照《河南省生态环境行政处罚裁量基准》,违法事实(首要裁量因素):经监测不符合要求的指标参数 2 (裁量等级2);未安装油气回收装置设备(不涉及,不考虑该项裁量因素);企业规模:微型企业(裁量等级1);管理类别:登记管理(裁量等级1);超过限期整改时间:限期整改(裁量等级1);受处罚次数:两年内未受到同类处罚(裁量等级1);是否配合执法检查:配合检查(裁量等级1)。

焦环罚〔2025〕262号 

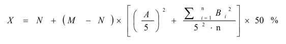
X:处罚金额;

M:法定处罚金额上限;

N:法定处罚金额下限,下限可以为零;

A:首要裁量因素裁量等级;

n:其余裁量因素个数;

B:其余裁量因素的裁量等级。

将裁量等级数据代入上述公式,进行计算:

X=2202×[2/521212121212/52×50.5=3.8万元

结合公司违法行为的事实、性质、情节、社会危害程度和相关证据,经集体研究,对你公司的违法行为作出以下处理决定:

叁万罚款

三、行政处罚决定的履行方式和期限

根据《中华人民共和国行政处罚法》和《罚款决定与罚款收缴分离实施办法》的规定,你公司应当自收到本处罚决定书之日起15日内将罚款缴至指定银行和账户:

    焦作市财政局非税收入财政专户

    100195545980010001

收款银行邮政储蓄银行民主南路支行

款项缴清后,请你公司应将缴款凭据报送我局备案。逾期不缴纳罚款的,我局将依法采取行政强制措施。

四、申请行政复议或提起行政诉讼的途径和期限

公司如不服本处罚决定,可以在收到本处罚决定书之日起六十日内向焦作市人民政府申请行政复议,也可以在收到本处罚决定书之日起六个月内向解放区人民法院提起行政诉讼。申请行政复议或者提起行政诉讼,不停止行政处罚决定的执行。

到期不缴纳罚款的,我局可以依据《中华人民共和国行政处罚法》第七十二条第一款第一项规定,每日按罚款数额的3%加处罚款。逾期不申请行政复议,不提起行政诉讼,又不履行本处罚决定的,我局将依法申请人民法院强制执行。

 

 

 

                               2025923

 


整治散乱污
焦作市文明行为促进条例之文明播报系列短视频