焦环罚〔2025〕263号
来源: 添加时间: 2025-09-29 09:37:47 阅读量:

焦作市生态环境局

行政处罚决定书

环罚〔2025263

 

单位名称:河南名辰检测技术有限公司 

统一社会信用代码:91410300MA9K4E5B33  

地址:河南省洛阳市高新区延光路1853楼整层

法定代表人:胡联营  

     

一、环境违法事实和证据

202585日,焦作市生态环境执法人员在开展对河南省焦作市武陟县木栾街道前牛村铸造企业的二氧化硫高值区域排查过程中,焦作市生态环境执法人员调取武陟县成明机械有限公司610日凌晨的视频监控,发现你公司的工作人员于2025610日凌晨1:29进入厂区,搬下检测仪器进入企业工作区域,2:21,你公司的工作人员将采样仪器搬回车上,并离开企业,从视频中观察到检测人员对武陟县成明铸造有限公司当时的采样检测时长明显不符合GB 16297-1996检测规范标准要求。为此,执法人员调取了武陟县成明铸造有限公司编号为MC(监)字第J2306008051号,武陟县前程机械有限公司编号为MC(监)字第J2306015030号和焦作市双环矿用机械有限公司编号为MC(监)字第J2306007051号的三份检测报告,经查,6103:40,检测人员已返回酒店休息,但《检测报告》却显示当日5:43,采样检测活动仍在继续。你公司自动烟气测试仪上的历史记录显示,610日仅有2:253:284:33三个时间的采样记录,其余记录均不存在,且仅此的3个记录中,“4:33”这个检测时间仍然与检测人员笔录承认返回酒店时间明显冲突。为此,你公司出具的编号为MC(监)字第J2306008051号、MC(监)字第J2306015030号和MC(监)字第J2306007051号的3份检测报告检测时间存在编造的问题,且检测时长明显不符合GB 16297-1996检测技术规范要求,检测报告存在造假行为。

以上事实的证据如下:

1.《营业执照》复印件1份,《校验检测机构资质认定证书》复印件1份,《授权委托书》1份,受委托人身份证复印件3份,证明你公司的基本情况和被询问人身份;

2.武陟县成明铸造有限公司《授权委托书》1份,受委托人身份证复印件2份,证明委托你公司检测单位的基本情况和被询问人身份;

3.2025811日《焦作市生态环境局现场检查(勘察)笔录》1份、你公司出具的编号为MC(监)字第J2306008051号、MC(监)字第J2306015030号和MC(监)字第J2306007051号的3份检测报告及原始检测记录各1份,证明你公司610日对武陟县成明铸造有限公司、焦作市双环矿用机械有限公司、武陟县前程机械有限公司的检测时间与事实不符;

4.202586日《焦作市生态环境局电子数据证据提取笔录》及2025610日河南名辰检测技术有限公司在武陟县成明铸造有限公司采样检测的出入厂监控视频1份,证明名辰检测技术有限公司检测时长未按照GB 16297-1996检测技术规范进行检测;

5.2025811日、29日《焦作市生态环境局调查询问笔录》3份,证明你公司的基本情况,以及对于2025610日未按规定对武陟县成明铸造有限公司、焦作市双环矿用机械有限公司、武陟县前程机械有限公司进行检测的违法事实的认可;

6.你公司提供的职工工资表复印件1份,证明公司规模;

我局于202599日送达了《行政处罚事先(听证)告知书》(焦环先告字〔2025244号),告知书告知你公司对我局拟作出的行政处罚有权进行陈述申辩权和申请听证权。以上事实有我局《行政处罚事先(听证)告知书》(焦环先告字〔2025244号)和《送达回证》等为证。你公司在规定的时间内未进行陈述、申辨,未提出听证申请。

二、行政处罚的依据、种类

你公司的行为违反了《河南省大气污染防治条例》第十八条第一款排放工业废气或者有毒有害大气污染物的企业事业单位和其他生产经营者应当按照国家有关规定和监测规范开展自行监测。不具备监测能力的排污单位,应当委托有资质的监测机构进行监测。接受委托的监测机构,应当遵守环境保护法律、法规和相关技术规范的要求。监测数据应当按照规定的时间如实报送环境保护主管部门,并依法向社会公开。监测数据保存的时间不得少于三年。的规定。

依据《河南省大气污染防治条例》第六十九条违反本条例第十八条第一款规定,接受委托的监测机构未按照环境保护法律、法规和相关技术规范的要求进行监测的,由县级以上人民政府环境保护主管部门责令改正,处二万元以上十万元以下罚款的规定。 

参照《河南省生态环境行政处罚裁量基准》,违法事实(首要裁量因素):一般(裁量等级1);企业规模:型企业(裁量等级2);管理类别不涉及,不考虑该项裁量因素);违法行为持续时间:1 个月以下(裁量等级1);超过限期改正时间:限期改正(裁量等级1);违法行为发生频次:3 次(裁量等级3);违法行为发生地点:符合环境功能区划(裁量等级1);受处罚次数:两年内未受到过同类处罚(裁量等级1);是否配合执法检查:配合检查(裁量等级1)。

焦环罚〔2025〕263号 

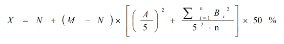
X:处罚金额;

M:法定处罚金额上限;

N:法定处罚金额下限,下限可以为零;

A:首要裁量因素裁量等级;

n:其余裁量因素个数;

B:其余裁量因素的裁量等级。

将裁量等级数据代入上述公式,进行计算:

X=2102×[1/5222121232121212/52×70.5=2.5714万元

自定义裁量计算值:0,最终裁量金额2.5714万元。

结合公司违法行为的事实、性质、情节、社会危害程度和相关证据,经集体研究,对你公司的违法行为作出以下处理决定:

处贰柒佰壹拾肆罚款

三、行政处罚决定的履行方式和期限

根据《中华人民共和国行政处罚法》和《罚款决定与罚款收缴分离实施办法》的规定,你公司应当自收到本处罚决定书之日起15日内将罚款缴至指定银行和账户:

    焦作市财政局非税收入财政专户

    100195545980010001

收款银行邮政储蓄银行民主南路支行

款项缴清后,请你公司应将缴款凭据报送我局备案。逾期不缴纳罚款的,我局将依法采取行政强制措施。

四、申请行政复议或提起行政诉讼的途径和期限

公司如不服本处罚决定,可以在收到本处罚决定书之日起六十日内向焦作市人民政府申请行政复议,也可以在收到本处罚决定书之日起六个月内向解放区人民法院提起行政诉讼。申请行政复议或者提起行政诉讼,不停止行政处罚决定的执行。

到期不缴纳罚款的,我局可以依据《中华人民共和国行政处罚法》第七十二条第一款第一项规定,每日按罚款数额的3%加处罚款。逾期不申请行政复议,不提起行政诉讼,又不履行本处罚决定的,我局将依法申请人民法院强制执行。

 

 

 

                               2025923

 


整治散乱污
焦作市文明行为促进条例之文明播报系列短视频